• Предмет: Математика
  • Автор: muhametgaleev18
  • Вопрос задан 2 года назад

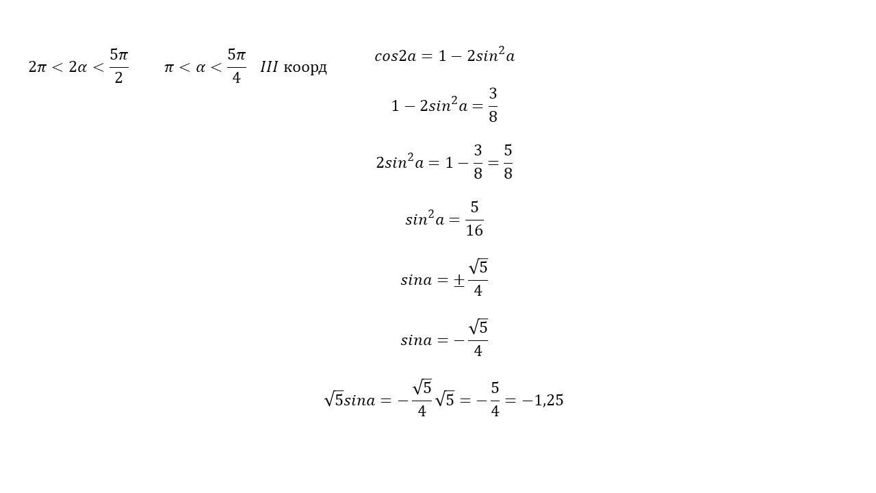
Помогите решить , срочно

Приложения:

Ответы

Ответ дал: afet74
1

Ответ:

Пошаговое объяснение:

Приложения:
Вас заинтересует