• Предмет: Геометрия
  • Автор: kranchez
  • Вопрос задан 2 года назад

РЕШИТЕ СРОЧНО ДАЮ 100 БАЛОВ

Приложения:

kranchez: можно с решением
kranchez: скиньте решений

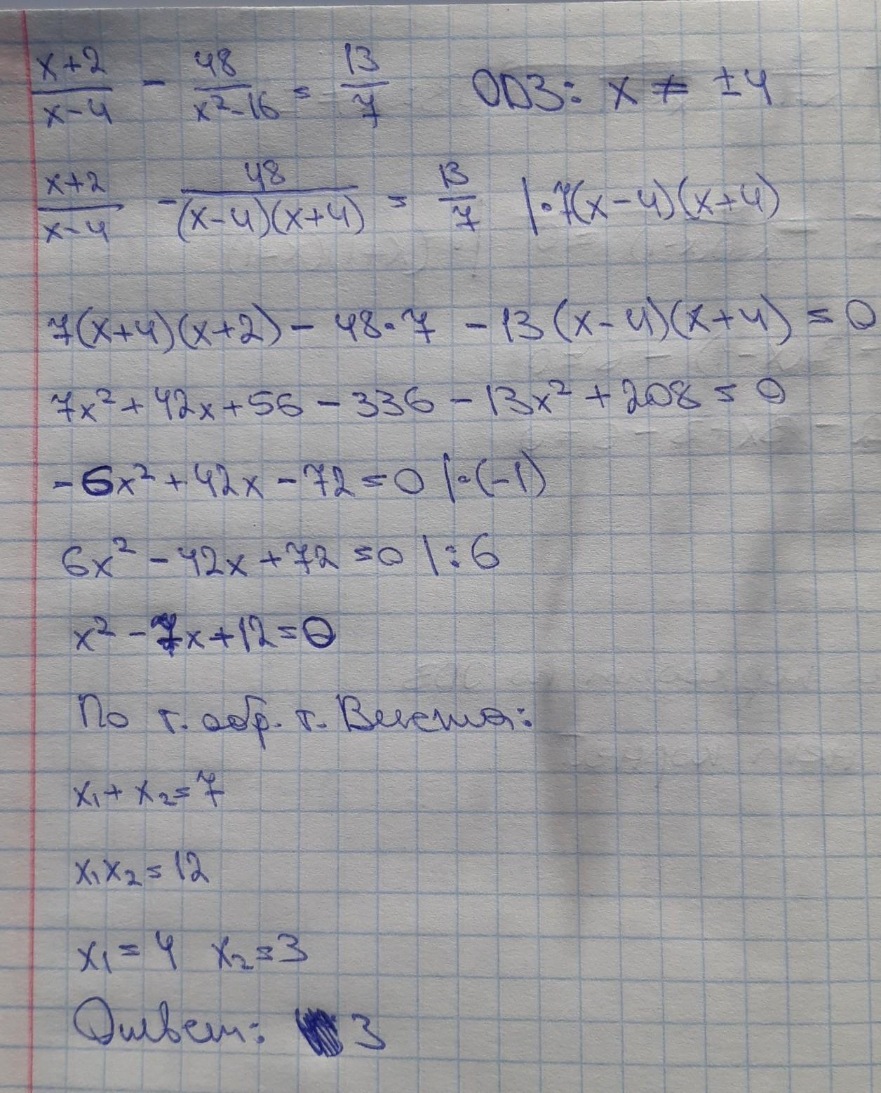
Ответы

Ответ дал: aash41
1

1. 3

2. нет корней

3. -8

4. нет корней

Объяснение:

смотри фото

Приложения:
Вас заинтересует