Ответы
Ответ дал:
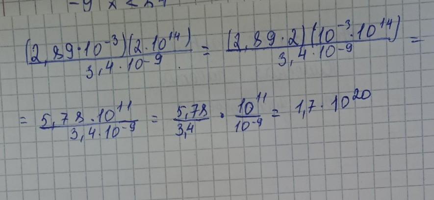
1
Ответ:
Так думаю
Если не правильно простите
Приложения:

Mashecha:
Ничего, спасибо большое)
Вас заинтересует
1 год назад
1 год назад
1 год назад
3 года назад
3 года назад
8 лет назад