Ответы
Ответ дал:
1
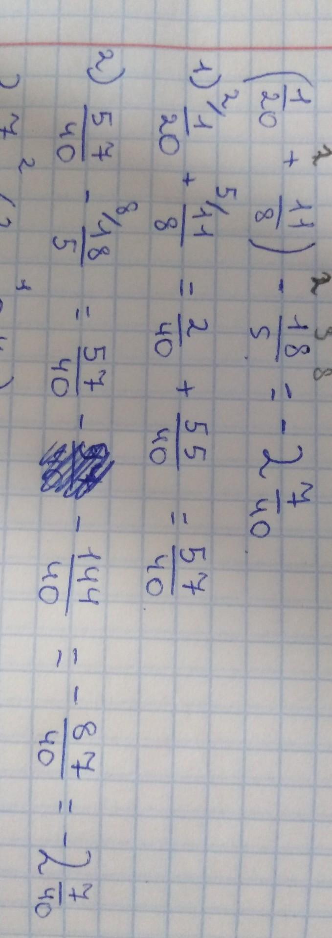
Ответ: Смотри на фотографии
номер 2.1.19 - первые 2 фотографии
номер 2.1.20 - фотографии 3 и 4
последний номер - 5 фотография (лучше ответ запиши как 5,13 !!!!)
УДАЧИ!
Приложения:





Ответ дал:
0
Ответ:
3 фото может быть не правильным
Приложения:



Вас заинтересует
1 год назад
1 год назад
1 год назад
1 год назад
8 лет назад