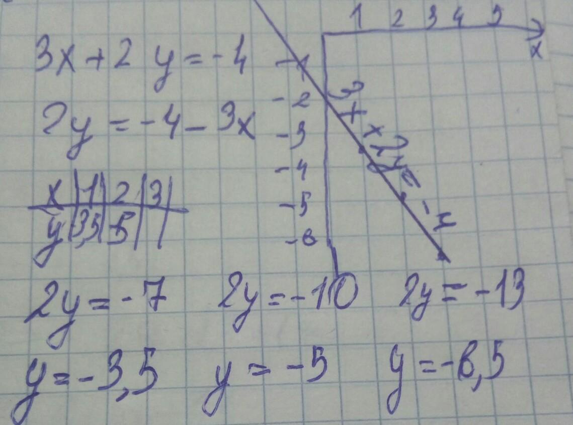
Докажите, что графику урвнения 3x+2y= -4 не принадлежи ни одна точка, у которой ое координаты положительны.
Ответы
Ответ дал:
1
Ответ:
вот и всеееее.............
Приложения:

Вас заинтересует
1 год назад
1 год назад
3 года назад
8 лет назад
8 лет назад