• Предмет: Алгебра
  • Автор: waterlilj2
  • Вопрос задан 2 года назад

помогите пж решите системные уравнения ​

Приложения:

Ответы

Ответ дал: 197983
1

Ответ:

а) (2;9)

б) (-2;2)

Объяснение:

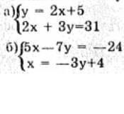
а) у = 2х+5

    2х+3у=31

   2х+3(2х+5)=31

   2х+6х+15=31

   8х= 16

   х=2

у=2*2+5=9

Ответ: (2;9)

б) 5х-7у= -24

    х= -3у+4

  5( -3у+4)-7у = -24

 -15у+20-7у= -24

  -22у = -44

    у=2

 х=-3*2+4= -2

Ответ (-2;2)

Вас заинтересует