• Предмет: Алгебра
  • Автор: juliamemeh2007
  • Вопрос задан 8 лет назад

Розв'яжіть системи способом підстановки. {x-y=1
{x-2y=4
ПЖ,ДУУУУУУЖЕ СРОЧНО!!!​

Ответы

Ответ дал: anaitsasha
0

Ответ:

Фото

Объяснение:

Приложения:
Ответ дал: Lesben
0

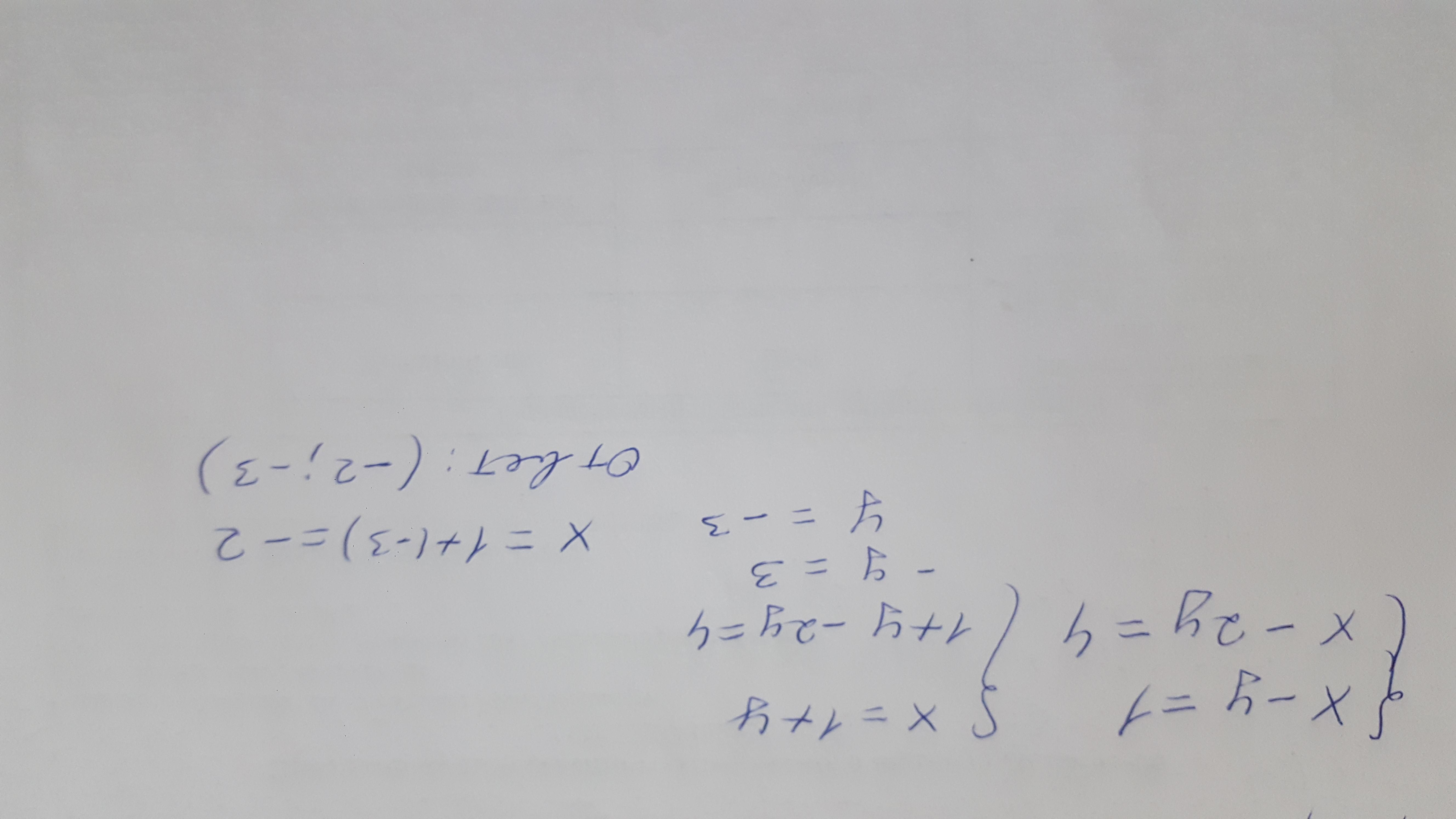
Ответ:/x,y/=/-2,-3/

Объяснение:x-y=1

                       x-2y=4

                  --------------------------

                      x=y+1

                     x-2y=4

                 ---------------------------

                   x=y+1

                    y+1-2y=4

                   ----------------------

                   x=y+1

                  -y+1=4, -y=4-1, -y=3, y=-3

                      ---------------

                        x=-3+1, x=-2

                    y=-3

                 ----------------------------------------------------                        

Приложения:
Вас заинтересует