• Предмет: Химия
  • Автор: yarik1506
  • Вопрос задан 8 лет назад

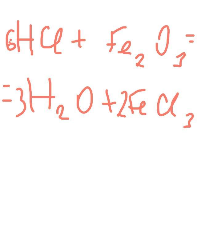
Хлоридная кислота прореагировала с железа(III) оксида массой 40г. Определить массу соли, которая образовалась в результате реакций

Ответы

Ответ дал: samandarzhalish2005
0

пропорция

216 г. HCl ------------- 324 г. FeCl3

40 г. HCl ------------- х г.

х = 40×324/216 = 60 г.

Приложения:
Вас заинтересует