• Предмет: Математика
  • Автор: 45667889
  • Вопрос задан 8 лет назад

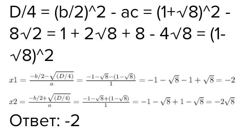
x^2+2(1-√8)x+8√2=0
ответ с решением

Ответы

Ответ дал: amaliia3546
0

Пошаговое объяснение:

Как решить? Через рациональный или квадратный?

На 1 фотке рациональное

На 2ой через квадратный корень

Приложения:
Вас заинтересует