• Предмет: Математика
  • Автор: qweqwe111
  • Вопрос задан 8 лет назад

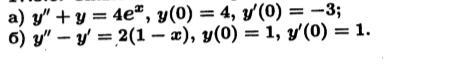
Диферинцiальнi рiвняння зi сталими коефiцiєнтами зi спецiальною правою частиною

Приложения:

Ответа на этот вопрос пока нет. Попробуйте найти его через форму поиска.

Вас заинтересует