• Предмет: Математика
  • Автор: katyatambler
  • Вопрос задан 8 лет назад

помогите плиз срочно!)

Приложения:

Ответы

Ответ дал: thbggrfyhgd
0

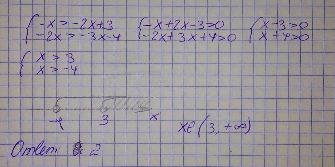
Ответ:

2

Пошаговое объяснение:

в приложении пояснение, если нужно

Приложения:
Вас заинтересует