• Предмет: Математика
  • Автор: saba27639625
  • Вопрос задан 2 года назад

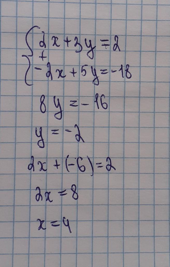
1461. Решите системы уравнений способом сложения:
3) 2х+3у=2
-2х+5у=-18
подробно решите пожалуйста
даю 20 б

Ответы

Ответ дал: Imu22
5

Ответ:

так как иксы одинаковые ,только знаки разные, прибавляешь их друг к другу .Так находишь y

а потом подставляешь y и находишь x

Приложения:

saba27639625: спасибочки тебе❤❤❤
akhmadina1108: Правильно молодец Но мне нужна 4
NoRmIkG: 2x + 3у-
NoRmIkG: 2x + 3у= 2
Вас заинтересует