• Предмет: Алгебра
  • Автор: maksimka5277
  • Вопрос задан 8 лет назад

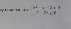
хелп ми плиз срочна нужна помощь это сор быстрее плииииз фото приклеплено​

Приложения:

Ответа на этот вопрос пока нет. Попробуйте найти его через форму поиска.

Вас заинтересует