Ответы
Ответ дал:
0
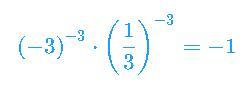
Ответ:
(-3•1/3)^-3
-1^-3
-1
Ответ: -1
Объяснение:
^ это степень
Ответ дал:
0
конечно
Ответ дал:
0
Даже не сомневайся
Ответ дал:
0
Спасибо огромное
Ответ дал:
0
https://znanija.com/task/36456713 помогите с заданием пожалуйста 47 баллов за лучший ответ
Ответ дал:
0
Ответ:
Объяснение:
ответ на скриншоте, задание элементарное, достаточно воспользоваться калькулятором.
Приложения:

Вас заинтересует
2 года назад
8 лет назад
9 лет назад