• Предмет: Алгебра
  • Автор: Саяки
  • Вопрос задан 8 лет назад

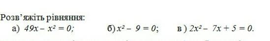
пожалуйста помогите​

Приложения:

Ответы

Ответ дал: Kapnet
0

a) X1 = 0 X2 = 49

б) X1 = -3 X2=3

                     

                     

в) X1 =1  X2 = frac{5}{2}

                     

Ответ дал: kudov
0

В а) выносим х за скобки

В б) переносим цифру в лево от знака равно

В в) решаем с помощью дискриминанта

Приложения:
Вас заинтересует