• Предмет: Математика
  • Автор: dianaauezkhanova
  • Вопрос задан 8 лет назад

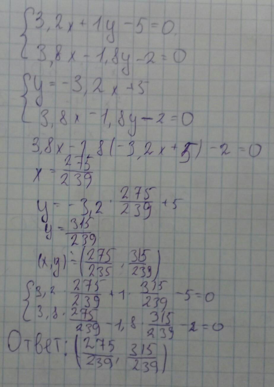
3,2x +1 у – 5 = 0,
3,8х -1,8у – 2 = 0;

Ответы

Ответ дал: sasasaapina
0

Пошаговое объяснение:

решить решить относительно y x

Приложения:
Вас заинтересует