• Предмет: Алгебра
  • Автор: Аноним
  • Вопрос задан 8 лет назад

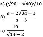
Упростите выражения. В пункте «а» получите числовое значение; в п. «б» − сократите дробь; в п. «в» − избавьтесь от иррациональности в знаменателе:

1.png



Задание 2.

Вынесите множитель из-под знака корня:

2.png



Задание 3.

Найдите значение выражения:

3.png

Приложения:

Ответы

Ответ дал: Vanya0207200711
0

Ответ:

Упростите выражения. В пункте «а» получите числовое значение; в п. «б» − сократите дробь; в п. «в» − избавьтесь от иррациональности в знаменателе:

1.png

Задание 2.

Вынесите множитель из-под знака корня:

2.png

Задание 3.

Найдите значение выражения:

3.png

Объяснение:

Какой класс просто нужно уточнить

Вас заинтересует