• Предмет: Алгебра
  • Автор: DSDSDS789
  • Вопрос задан 8 лет назад

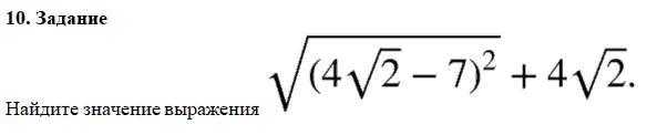
Найдите значение выражения с подробным решением

Приложения:

Ответы

Ответ дал: simonenko20052
0

Ответ:

будет =7

Объяснение:

Вас заинтересует