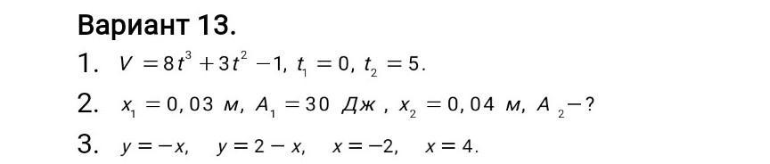
1. Найти путь тела, движущегося с заданной скоростью за данный промежуток времени.
2. Вычислить работу, совершаемую при сжатии или растяжении пружины, пропорционально приложенной силе.
3. Вычислить площадь фигуры, ограниченной данными линиями.
Приложения:

Ответа на этот вопрос пока нет. Попробуйте найти его через форму поиска.
Вас заинтересует
2 года назад
2 года назад
3 года назад
8 лет назад
9 лет назад