• Предмет: Алгебра
  • Автор: semiisdead
  • Вопрос задан 8 лет назад

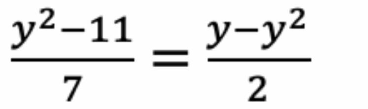
Определите значение y , при которых верно равенство :

Помогите пж

Приложения:

Ответы

Ответ дал: glxui
0

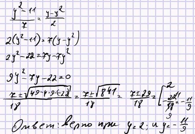
Ответ:

Верно при y=2 и y=-frac{11}{9}

Объяснение:

Приложения:
Вас заинтересует