• Предмет: Алгебра
  • Автор: denis2002maDFSFrkoov
  • Вопрос задан 8 лет назад

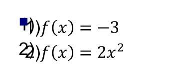
Помогите решить два примера пожалйста

Приложения:

Ответы

Ответ дал: DaSh015
0

Ответ:

  1. f'(x)=0
  2. f'(x)=4x
Вас заинтересует