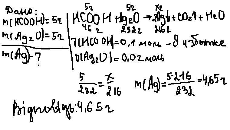
В ходе реакции 5 г метановой кислоты с 5 г оксида серебра (I) выделилось металлическое серебро. Вычислите массу полученного осадка?
Ответы
Ответ дал:
1
Ответ: 4,65 г серебра
Приложения:

ivushkinmaxim:
Спасибо большое
Вас заинтересует
1 год назад
1 год назад
1 год назад
1 год назад
3 года назад
3 года назад
8 лет назад