Даю 35 баллов!
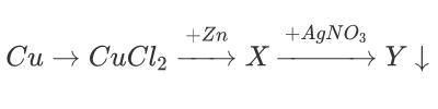
Дана схема превращений (см. изображение).
Найдите химическую формулу вещества X (X - растворимое в воде соединение).
Также найдите химическую формулу вещества Y.
Приложения:

Ответы
Ответ дал:
0
CuCl2 + Zn → Cu + ZnCl2 - это X
ZnCl2 + 2 AgNO3 → 2 AgCl + Zn(NO3)2 - это Y
ZnCl2 + 2 AgNO3 → 2 AgCl + Zn(NO3)2 - это Y
Вас заинтересует
2 года назад
2 года назад
3 года назад
8 лет назад
8 лет назад
9 лет назад
9 лет назад