• Предмет: Алгебра
  • Автор: 47sqd
  • Вопрос задан 2 года назад

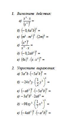
Помогите пожалуйста желательно до 3х часов дня по МСК

Приложения:

Ответы

Ответ дал: Ksyushaha
0
Ответ в приложенном фото )
Приложения:
Вас заинтересует