• Предмет: Алгебра
  • Автор: Nicer228
  • Вопрос задан 8 лет назад

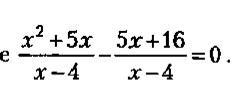
Решите уравнение пожалуйста!!!

Приложения:

Ответы

Ответ дал: madnesssssss
0

e-4=0

e=4

photomath , часть без 'e' вписать и решить

Ответ дал: TarakanSergei
0

ответ на фото выше. ...

Приложения:
Вас заинтересует