• Предмет: Математика
  • Автор: sergey3010
  • Вопрос задан 8 лет назад

решите пжл полный ответ

Приложения:

Ответы

Ответ дал: roomayanlco
0

Ответ:

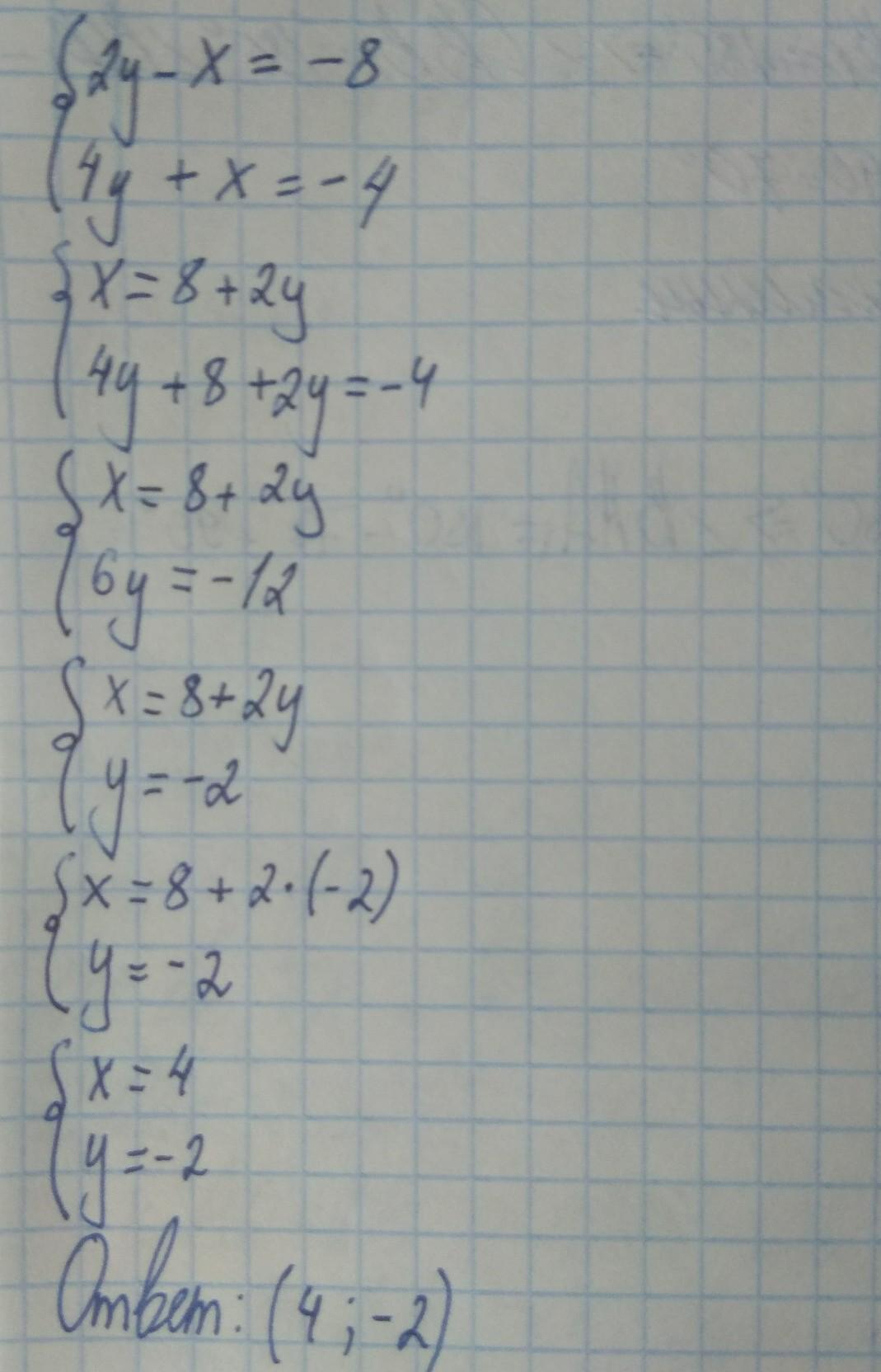
Решение в прикреплённых фото

Приложения:
Ответ дал: maksimus0905rg
0

Ответ:

1. х=4, у= -2

2. 20 и 3

Пошаговое объяснение:

1.

2у-х=-8

4у+х=-4  

складываем почленно лев. и прав. части системы уравнений, получается

6у=-12

у=-12÷6=-2, теперь находим х

х=-4-4у=-4-4·(-2)=4

2. Задача

Пусть х стоит тетрадь, тогда у- стоит карандаш

составляем уравнения по условию задачи:

3х+2у=66

2х+4у=52

Домножаем каждый член в первом уравнении на (-2)

-6х-4у=-132

2х+4у=52

теперь складываем почленно лев. и прав. части уравнений

-4х=-80    и находим значение х

х=80÷4=20 (стоит тетрадь)

теперь находим значение у

2·20+4у=52

4у=52-40=12, у=12÷4=3 (стоит карандаш)

Приложения:
Вас заинтересует