• Предмет: Алгебра
  • Автор: polinastepanets123
  • Вопрос задан 8 лет назад

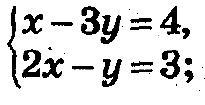
Розв'язати систему рівнянь способом підстановки
ПЛИз СРОЧНО 20 БАЛЛОВ ДАЮ

Приложения:

Ответа на этот вопрос пока нет. Попробуйте найти его через форму поиска.

Вас заинтересует