• Предмет: Алгебра
  • Автор: 1hamza
  • Вопрос задан 8 лет назад

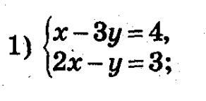
Ребята помогите пожалусто срочно очень. Розв'яжіть методом підстановки систему рівнянь. Дайте відповіді на два питання.
1)Виразіть змінну х через у або у через х.Запишіть відповідний вираз.
2)Запишіть відповідь системи

Приложения:

Ответы

Ответ дал: mmaslina
0
блаблаблаблаблаблабла
Приложения:
Вас заинтересует