• Предмет: Математика
  • Автор: KasperovichSvetlana1
  • Вопрос задан 8 лет назад

Решите пожалуйста до вечера срочно
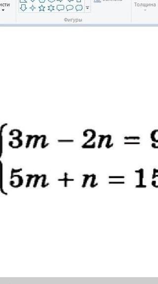
{3m-2n=9
5m+n=15

Приложения:

Ответы

Ответ дал: Мозгокошка
0

Надеюсь помогла)Удачи)

Приложения:
Вас заинтересует