Ответы
Ответ дал:
0
Ответ:1.
Это количество сочетаний из 18 по 2 = 18!/(2!*16!) = 17*18/2 = 17*9 = 90+63 = 153.
153 способа.
2. 1. 3 числа 2,4,6: P = 3 / 6 = 0.5
2. 2 числа: 3,6: P = 2 / 6 = 0.33
3. 2 числа: 5,6: P = 2 / 6 = 0.33
4. 4 числа: 1,2,3,4: P = 4 / 6 = 0.66
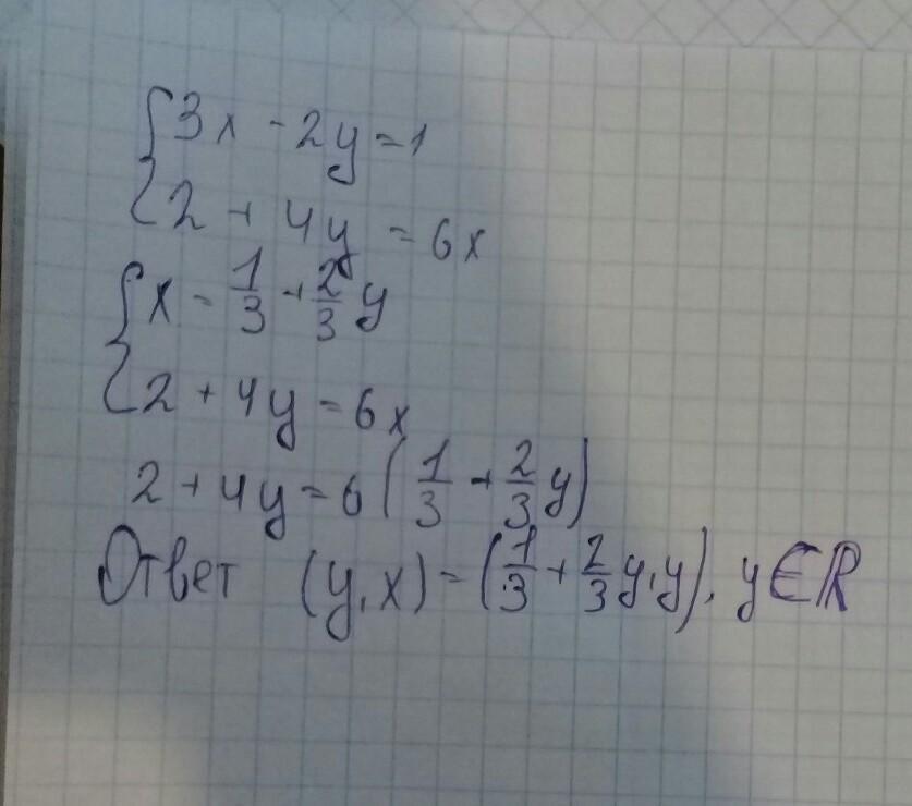
3.на фото
Пошаговое объяснение:
Приложения:

Вас заинтересует
2 года назад
2 года назад
3 года назад
3 года назад
8 лет назад
8 лет назад
9 лет назад