• Предмет: Алгебра
  • Автор: 25hjoerf10
  • Вопрос задан 8 лет назад

Найти производную функции.
Нужен ответ, как на 2-ом фото.

Приложения:

Ответы

Ответ дал: sangers1959
0

Ответ:

Объяснение:

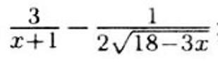
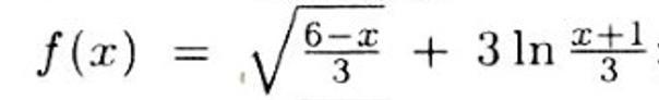
f(x)=sqrt{frac{6-x}{3} }+3*lnfrac{x+1}{3}  \f'(x)=(sqrt{frac{6-x}{3} }+3*lnfrac{x+1}{3})'=(sqrt{frac{6-x}{3} })'+(3*lnfrac{x+1}{3})'=\=((frac{6-x}{3} )^{frac{1}{2} })'+3*frac{1}{frac{x+1}{3} }  *(frac{x+1}{3} )'=frac{1}{2} *(frac{6-x}{3})^{-frac{1}{2} }*(frac{6-x}{3})'+frac{3*3}{3*(x+1)} =\   =-frac{1}{6}*sqrt{frac{3}{6-x} } +frac{3}{x+1} =frac{3}{x+1}-frac{sqrt{3} }{6sqrt{6-x} } =frac{3}{x+1}- frac{1}{2sqrt{3} *sqrt{6-x} } =frac{3}{x+1}-frac{1}{2sqrt{18-3x} } .

Вас заинтересует