• Предмет: Математика
  • Автор: faritismailov77
  • Вопрос задан 2 года назад

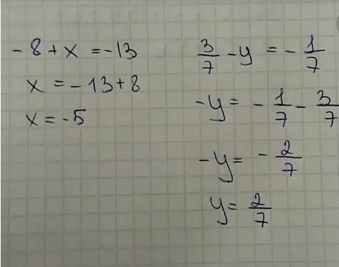
8 7
y+5---=9-
13 13


уравнение​

Ответы

Ответ дал: Аноним
0

Ответ:

подпишись пж на меня...

Приложения:
Вас заинтересует