• Предмет: Химия
  • Автор: darinachemertan2012
  • Вопрос задан 2 года назад

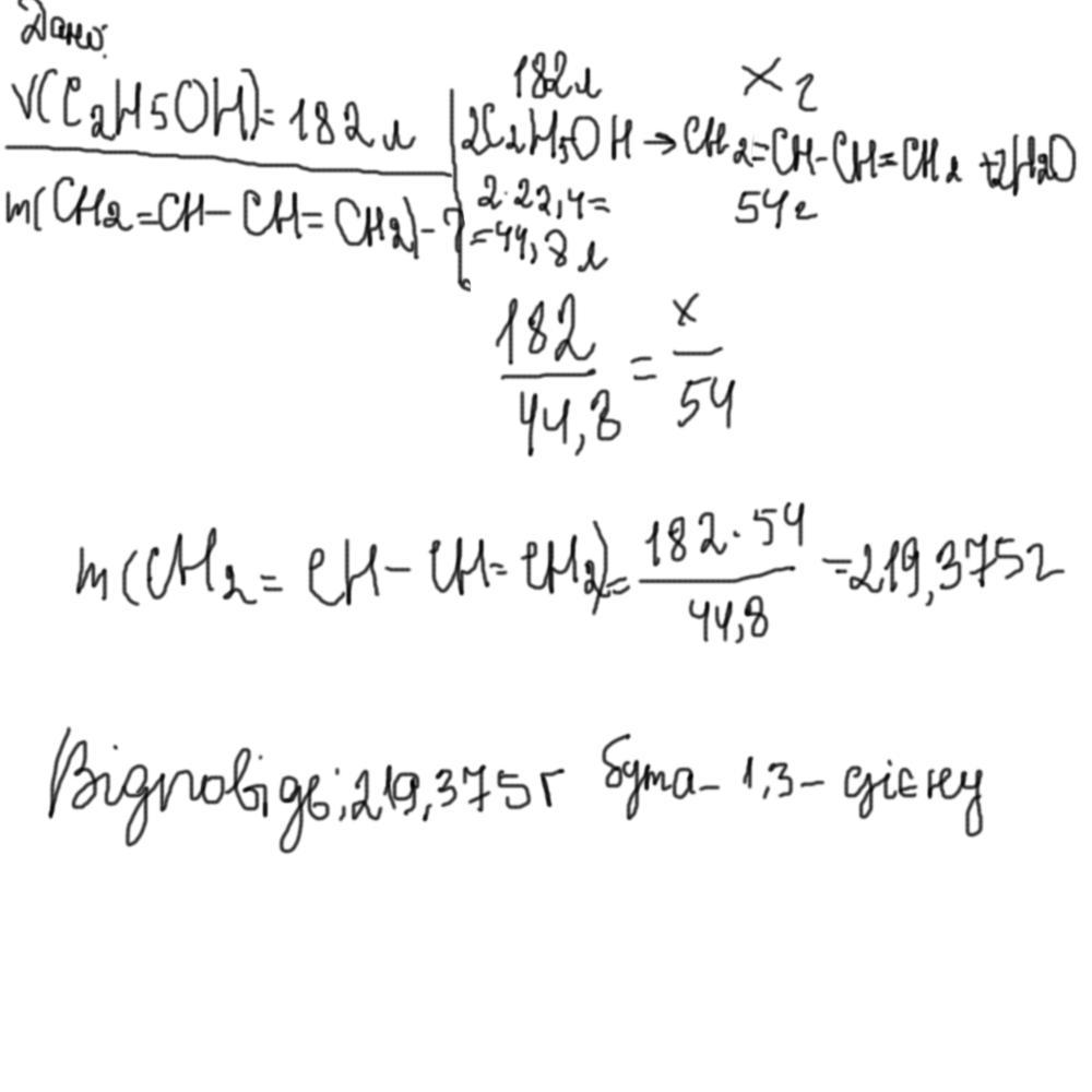
Даю 15 баллов!!!!! Допоможіть!!!!! Хімія 10 клас, потрібно вирішити задачу (фото нижче)

Приложения:

brk23012008: фото вище а не нище
brk23012008: )))0)

Ответы

Ответ дал: kononovfelix
1

Відповідь: 219, 375 г бута-1,3-дієну

Приложения:
Вас заинтересует