• Предмет: Алгебра
  • Автор: sheluhinanastia
  • Вопрос задан 2 года назад

Помогите пожалуйста.

Приложения:

Ответы

Ответ дал: san4oyzzz
1

Ответ:

Объяснение:

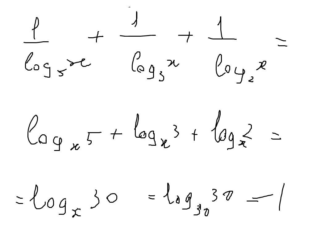
1 строка - разбиваем на сумму и сокращаем

2 строка - свойство 13

3 строка - свойство 7 и подстановка x=30

Приложения:

sheluhinanastia: Извините,а как в первой строке разбить на сумму..?
Вас заинтересует