• Предмет: Алгебра
  • Автор: karfidovadrcreativit
  • Вопрос задан 2 года назад

Как решается первое и второе задание?

Приложения:

Ответы

Ответ дал: Аноним
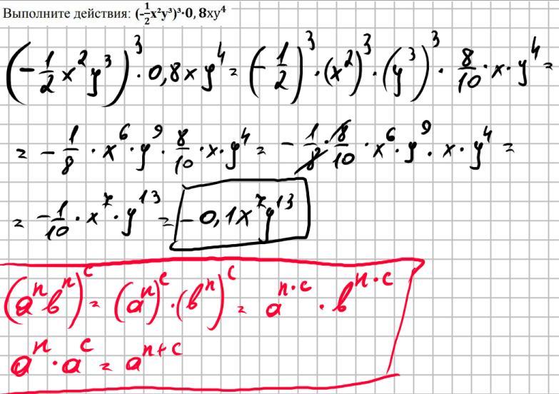
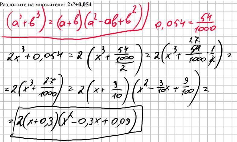
1

Ответ:

1)-0,1x^{7} y^{13}

2)2(x+0,3)(x^{2} -0,3x+0,09)

Объяснение:

Приложения:
Вас заинтересует