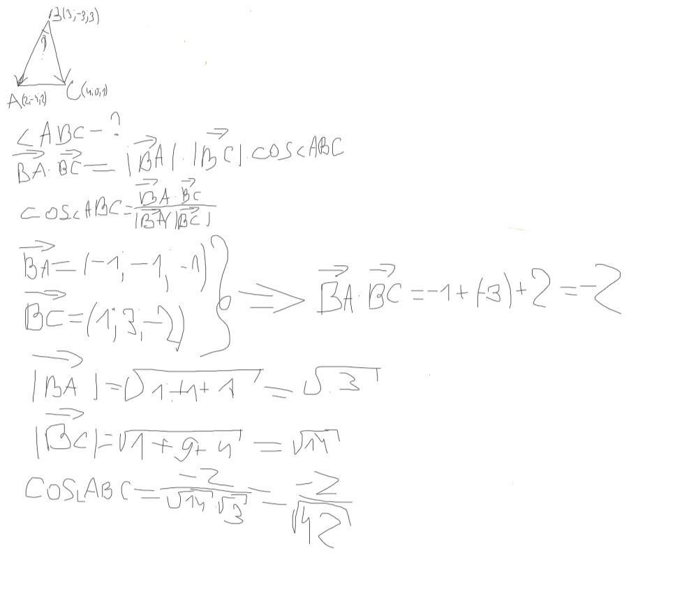
Найти косинус угла В треугольника ABC, если А (2; -4; 2), В (3; 3; 3), С (4; 0; 1)
ПОМОГИТЕ пожалуйста!!!
Ответы
Ответ дал:
0
Ответ:
-2/sqrt42
Объяснение:
Приложения:

Вас заинтересует
1 год назад
1 год назад
3 года назад
3 года назад
8 лет назад