• Предмет: Математика
  • Автор: poperenkodmitrij
  • Вопрос задан 2 года назад

Молю!!! Помогите пж!!! Срочно! ​

Приложения:

ViktoriaPobloki: Делаю, не переживай)

Ответы

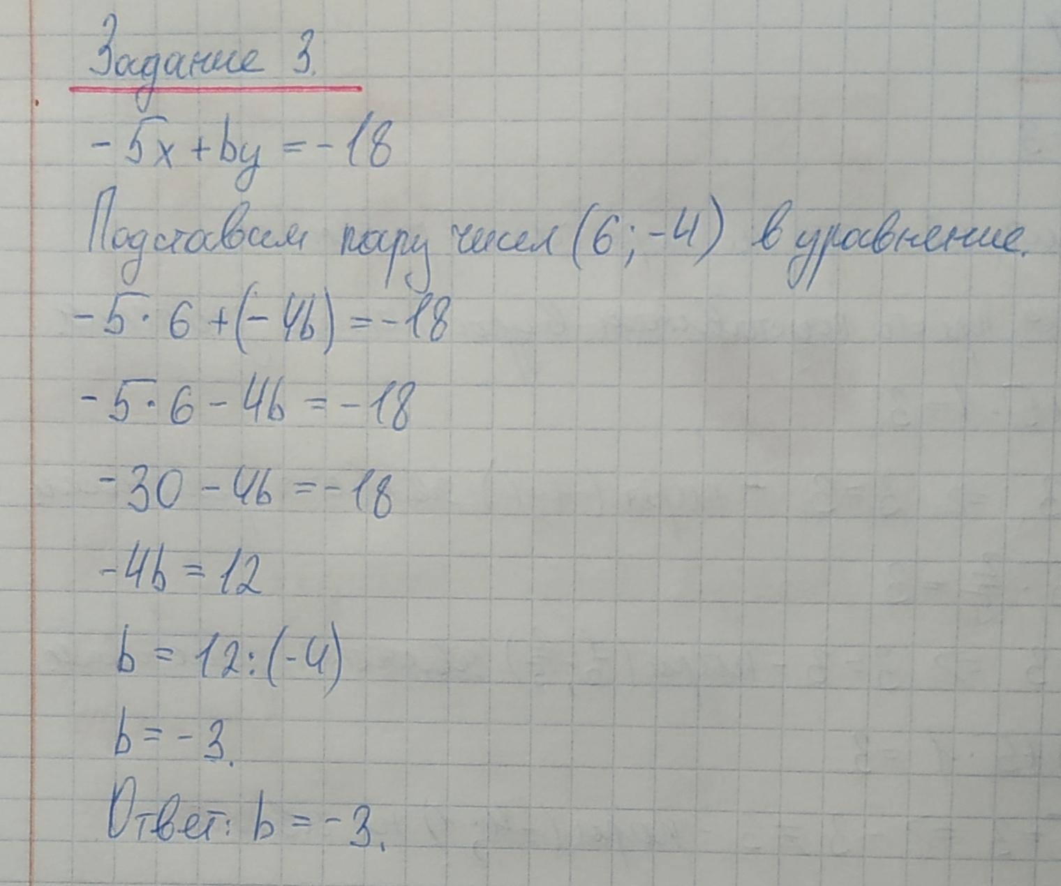
Ответ дал: ViktoriaPobloki
1

_______________________

Приложения:
Вас заинтересует