Ответы
Ответ дал:
0
Ответ:
A1) 1
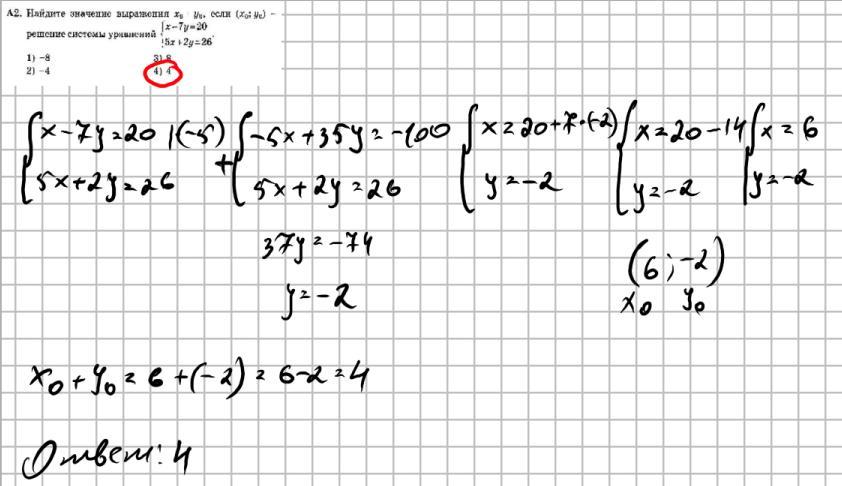
A2) 4
A3) 3
Объяснение:
Приложения:



Вас заинтересует
2 года назад
2 года назад
3 года назад
8 лет назад
9 лет назад