• Предмет: Алгебра
  • Автор: uflower1
  • Вопрос задан 8 лет назад

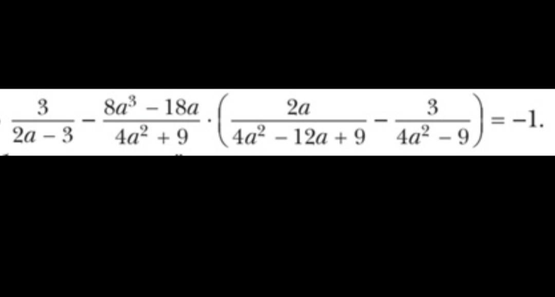
ДАЮ 30 БАЛЛОВ,НАДО ДОКАЗАТЬ ТОЖДЕСТВО!!​

Приложения:

Ответа на этот вопрос пока нет. Попробуйте найти его через форму поиска.

Вас заинтересует