• Предмет: Алгебра
  • Автор: lizalinnik84
  • Вопрос задан 8 лет назад

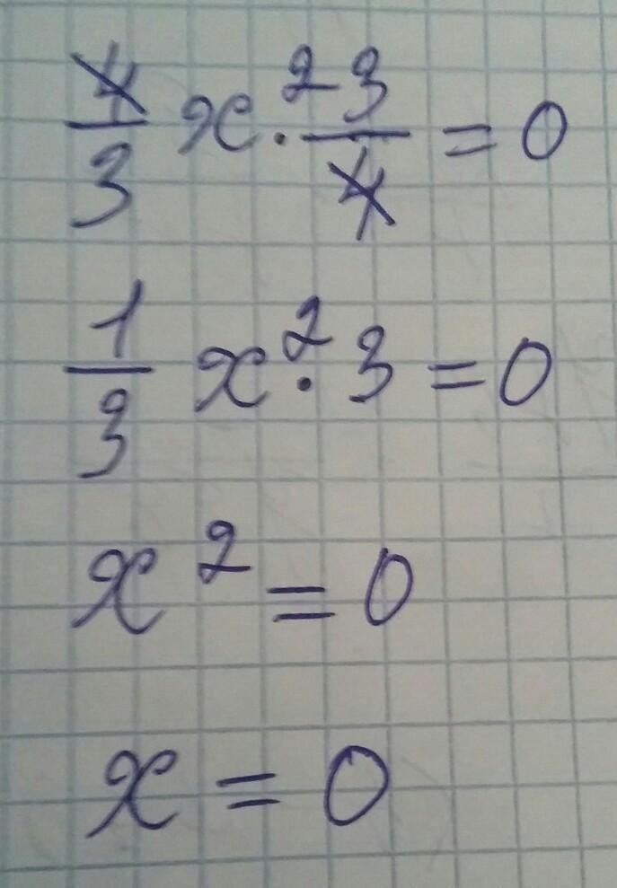
Знайдiть усi коренi непов. квадр. рiвн. : 4/3 х² - ¾=0

Ответы

Ответ дал: musulmanka20050618
0

Ответ:

помоему так правильно..

Приложения:
Вас заинтересует