• Предмет: Математика
  • Автор: 774587453875438
  • Вопрос задан 8 лет назад

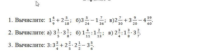
Решить примеры даю 35 баллов!!!!срочно

Приложения:

Ответа на этот вопрос пока нет. Попробуйте найти его через форму поиска.

Вас заинтересует