• Предмет: Алгебра
  • Автор: infokuzminykhoxmafp
  • Вопрос задан 2 года назад

СРОЧНО Помогите решить

Приложения:

Ответы

Ответ дал: urazumbetov21
0

Ответ:

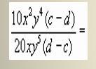
сразу скажу ответ и ее решение

ху⁴х(с-d) и начертишь дробь 2у⁵d-⁵c

X×(c-d) и дробная палочка 2у⁵d-⁵c-4

cx-dx и дробная палочка 5d-5c-4

Вас заинтересует