Ответы
Ответ дал:
0
Ответ:
9
Пошаговое объяснение:
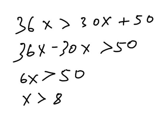
6x>50
x>8 1/3
36*9=324
30*9=270
270+50=320
Ответ дал:
0
ну вроде
Ответ дал:
0
на 4 рубля выгодней
Ответ дал:
0
Ответ: В Дальний есть смысл ехать за, как минимум, 9 кг .
Решение:
Приложения:

Ответ дал:
0
.....
Вас заинтересует
3 года назад
3 года назад
8 лет назад
8 лет назад
9 лет назад
9 лет назад