• Предмет: Физика
  • Автор: valyadulova
  • Вопрос задан 10 лет назад

22 б + 11 баллов за лучший
я физику вообще не знаю даже как дано писать помогите плз не удаляйте вопрос !!!!!!!!

У меня есть 4 задачи с решением, я эти решения нашла в интернете можете вы сделать задачу как положена
( смотрите на картинке №1)

                                                      Задачи
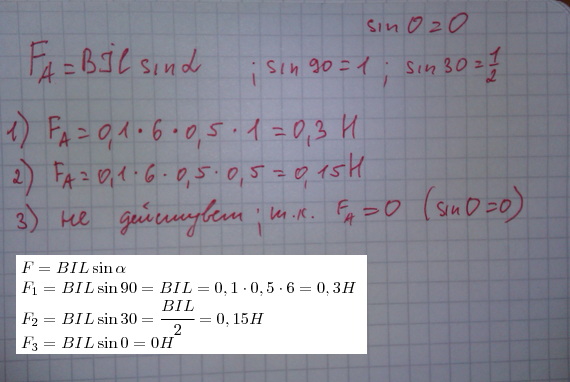
1)В магнитном поле с индукцией 0,1 Тл расположен проводнк длиной 0,5
м, сила тока в котором 6 А. Вычислите действующую на проводник силу,
если угол между направлением тока и вектором магнитной индукции равен:
90, 30, 0 градусов( решение картинка 2)

2)Определите наибольшее и наименьшее значения силы, действующей на
проводник длиной 0,3м, при различных его положениях в однородном
магнитном поле, индукция которого 0,2Тл. Сила тока в проводнике равна
5А.( картинка 3)


3)Проводник массой 5г и длиной о,1м находится в однородном магнитном
поле,индукция 0,3, проводник расположен перпендекулярено линиям
индукции.Какрй должна быть сила проводника,чтобы сила ампера
уравновесила силу тяжести,действующую на проводник?(картинка 4)


4)Электрон движется в однородном магнитном полу со скоростью
,направленной перпендикулярно вектору магнитной индукции и равной 5*10в6
м/с.Модуль вектора магнитной индукции = 0,02 Тл.Чему равна сила лоренца
и радиус окружности ,по которой движется электрон(картинка 5)

Приложения:

Ответы

Ответ дал: mayli
0
Решение у файлах...............
Приложения:
Вас заинтересует