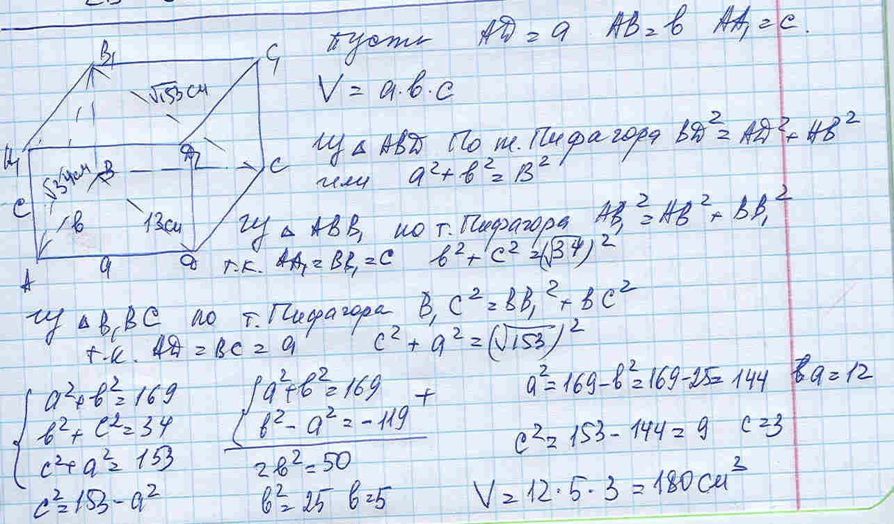
Диагональ основания прямоугольного параллелепипеда равна 13см, а диагонали боковых граней √34 см и √153см . Найдите объем параллелепипеда
Ответы
Ответ дал:
0
Ответ:
180 см³
Объяснение:
решение ниже
Приложения:

dthf511838:
бро,а можешь мне в личку написать,у меня там еще пару заданий есть
Вас заинтересует
1 год назад
1 год назад
1 год назад
3 года назад