• Предмет: Химия
  • Автор: mashkamashka48
  • Вопрос задан 2 года назад

ПОМОГИТЕ ПОЖАЛУЙСТА, ОЧЕНЬЬЬ НАДО, ДАЮ ВСЕ БАЛЫ​

Приложения:

Ответы

Ответ дал: kononovfelix
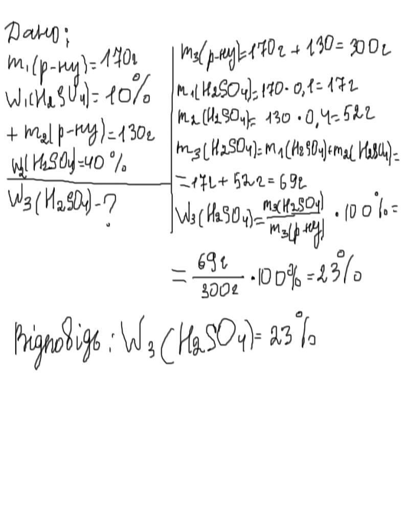
1

Відповідь: г) 23%

Рішення у вкладенні:

Приложения:

mashkamashka48: спасибо огромное, мой спаситель ❤️✨
kononovfelix: Приятно))
Вас заинтересует