• Предмет: Алгебра
  • Автор: leylamamedova1509200
  • Вопрос задан 2 года назад

ПОЖАЛУЙСТА РЕШИТЕ




срочнооо

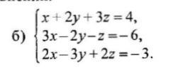
Приложения:

Colacola2006: мне приятно что помогла))

Ответы

Ответ дал: Colacola2006
1

Ответ:

(-1,1,1)

Объяснение:

ну как-то так

Приложения:

leylamamedova1509200: СПАСИБО❤️
Colacola2006: я обычно не очень подробно решаю, могу перерешать подробней если нужно?
leylamamedova1509200: попробуй если не сложно
Colacola2006: я прикрепила еще одну фотографию, посмотри
leylamamedova1509200: спасибо солнце, мне прям очень надо было❤️
Вас заинтересует