• Предмет: Математика
  • Автор: irin2101
  • Вопрос задан 2 года назад

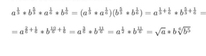
Упростить :(^5кореньb)^10 * (b^6)^-1/3​

Приложения:

Ответы

Ответ дал: gaukhar0811
1

Ответ:

пж поставь лучший ответ

Приложения:

irin2101: как я могу поставить лучший ответ ,если ответ не правильный
Sofia7400009: а я поставила 5 звезд
Вас заинтересует