• Предмет: Алгебра
  • Автор: alihanuteulin0
  • Вопрос задан 2 года назад

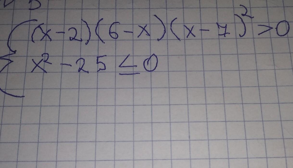
Решите систему неравенств ​

Приложения:

Ответы

Ответ дал: sivkovikakz
1

x∈{2; 6} - решаем неравенство относительно х

x∈ [-5; 5] - решаем неравенство относительно х

x∈{2;5]- Находим пересечение

Вас заинтересует