ЛЮДИ, ПОМОГИТЕ СРОЧНО НУЖНО.
МНЕ СЕЙЧАС ОТСЫЛАТЬ!!!!
ПОЖАЛУЙСТА С РЕШЕНИЕМ
УМОЛЯЮ
ПОМОГИТЕ ПОЖАЛУЙСТА СРОЧНО НАДО ОЧЕНЬ ПОЖАЛУЙСТА.
Приложения:
Ответы
Ответ дал:
1
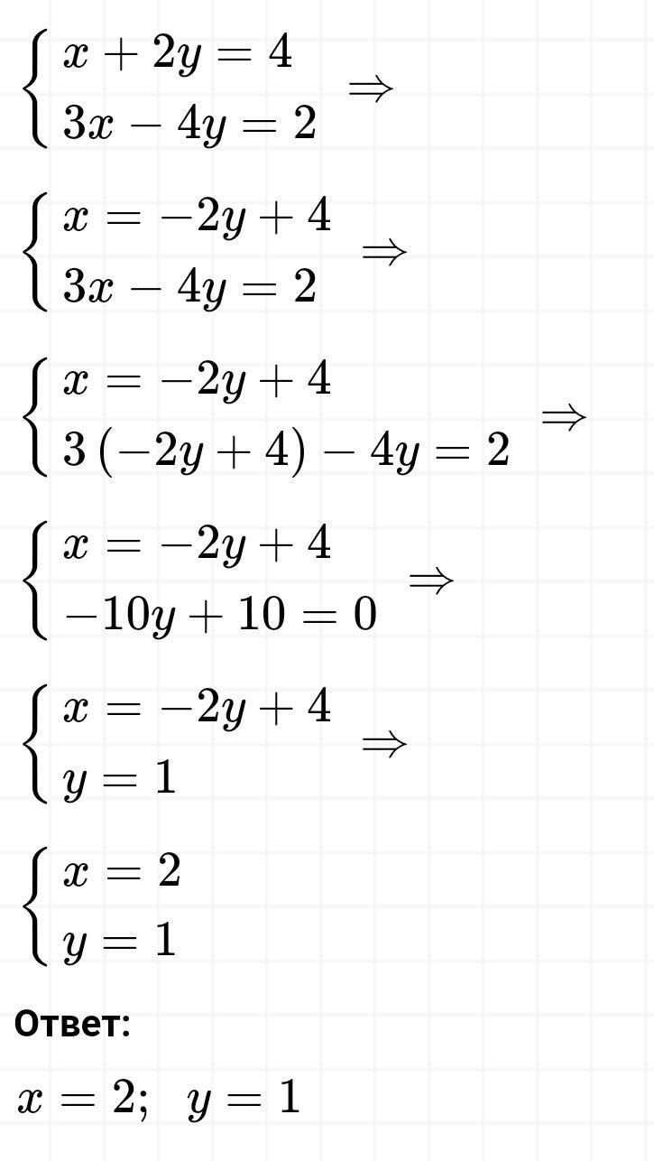
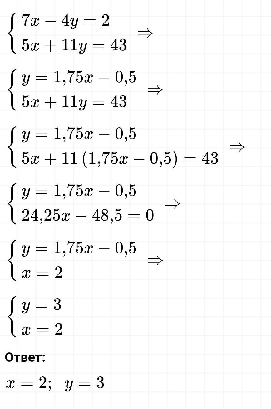
Прикрепила скриншоты с решением всех уравнений
Приложения:
Вас заинтересует
2 года назад
2 года назад
2 года назад
2 года назад
3 года назад
3 года назад
9 лет назад